Youni作为国内首款社交支付软件,创造性地将社交与支付结合起来,在推广以及使用的过程中为用户带来便利与实惠,这是其它移动社交类软件望尘莫及的。近日Youni又推出了免费下载游戏送现金的活动,用户通过Youni不仅可以免费下载热门游戏,还能领取Youni发放的活动奖金!这种颠覆性的推广模式让游戏用户和移动社交用户巧妙结合,并让用户获得了实实在在的惊喜。到Youni社交圈下载游戏还有钱赚?我伙呆!2014年3月24日开始,每周一、二、四晚上20点45分,盛大Youni社交圈将推出一款热门游戏,用户下载后,马上就能获得1-1.5元赏金;成功注册并体验还能赏上加赏;游戏玩家在社交圈发布游戏体验和攻略,还能获得游戏公众号5元到100元的打赏。盛大Youni与盛大游戏同属盛大旗下,这为盛大Youni提供了得天独厚的游戏资
《百万亚瑟王》同门姐妹作,RPG卡牌王道手游巨作《魔物狩猎者》于今日上午11时正式开启国服公测之旅,IOS与安卓双版同步上线,玩家可登陆官网下载客户端加入公测。【《魔物狩猎者》国服官网:http://gc.sdo.com/】【首款卡牌交易手游 独创狩猎系统】作为由日本知名游戏厂商SE倾力打造的精品手游,《魔物狩猎者》拥有着极为豪华的制作阵容,不仅是由著名的《最终幻想》系列开发团队及系列制作人亲自操刀,过硬的品质令游戏自曝光起就备受玩家期待与关注,国服公测更是成功集结突破80W大关,这无疑也为游戏公测的火爆奠定了坚实的基础!在游戏卡牌方面,《魔物狩猎者》的阵容与同门师姐《百万亚瑟王》一样,也是十分豪华。卡牌里的魔物不仅全部取材于世界各地耳熟能详的神话鬼怪故事,更有众多日本知名插画师对近300张的游戏卡牌进行绘制,
前盛大文学CEO侯小强今日在微博爆料,自己已皈依少林寺方丈释永信,永信大和尚为其起法名延舍。侯小强还在微博中贴出自己与释永信的合照,称整个仪式异常庄严,茶叙近五小时。这也是去年盛大文学宣布侯小强离职后,侯小强的最新动态。整个2013年侯小强一直压力很大,一方面是盛大文学旗下起点内乱,文学内部也在不断梳理业务,另一方面球探足球比分、百度相继杀入网络文学领域。最终侯小强不顾盛大网络董事长陈天桥挽留,在去年12月宣布离职专心休养。熟悉侯小强的人士向球探足球比分科技透露,侯小强皈依佛教并不意外,侯小强一直是虔诚的佛教信徒。在盛大文学5年间,侯小强保持吃斋念佛习惯,再忙每天也会抽出时间打坐冥思。侯小强曾公开表示,自己是一个佛教徒,每天会花一到两小时去念经。“我们经常把佛教当作一种人生哲学,认为我们应该去行善、安度当下、平复内
一位入职盛大十年的老员工就要打包走人了。虽然年龄并不大,但是很难在从他的状态中找到一个年轻人应有的激情。职场黄金的十年,陪他走过的是盛大,可惜不是阿里,也不是球探足球比分。回忆十年职场,他感慨自己错失诸多机会。他为盛大的沉沦感到悲伤,坚信自己不再回来,甚至不愿提起。盛大还很小时,他陪着盛大成长。盛大壮大时,他积极拓展新业务。盛大不再需要他时,他除了打包走人,就只剩下“一声叹息”。时与命。也许,每一家公司都有这样的人。他的命运也是多个纬度造成的结果。但这并不重要,移动吐槽只是想透过一位工作十年的老人,来看盛大这个帝国的平淡无奇的琐事。商业前进的路径正向文明演变的历史一样,宏观上俯瞰起来,惊心动魄,微观着眼却又平淡无奇,最终推动公司前进的力量,掩藏在平淡无奇的细节中。它们可能是一次又一次枯燥的会议,
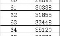
1、钱的事情核心就三点:给的少,升级慢,还分阶级……盛大的工资体系是业界盛传的“经验值体系”,即你进公司有个初始等级;然后每天上班加经验值,参与各种项目类似打副本,有项目经验值;经验值累计到一定程度升级,然后系统自动加工资,不用找什么HR和领导谈话;看上去还挺美好的是么?实际情况呢?盛大是一个有着严重的“外来和尚会念经”理念的公司;你要是个从0开始的新兵蛋子,在盛大的体系内想升职加薪,当上总经理,出任CEO,迎娶白富美,走上人生巅峰。那是根本不!可!能!的!!我是毕业进盛大的,09年进公司,26级,税前5500;实习期6个月只开80%,也就是4400,当然还有点什么补助,反正我记得我上班前半年每个月到手工资4000出头一点;下面这张表是
手游行业成亦题材,困亦题材。原因在于改编热门网络小说或动漫作品,人群先入为主,易于成功;但改编类游戏题材有限,竞争厂商众多,僧多粥少,成为行业发展的困境。从《我叫MT》到《凡人修仙传》,乃至满手机里都闪现的火影忍者和近期新上线的《斗破苍穹HD-完美版》,都走在这根钢丝绳上。图片1“题材”如枝末,越来越不受市场待见年初,手游《我叫MT Online》一夜成名,不仅超出了开发商的预料,更超出了整个业界的预料,掀起了手机游戏改编网络小说和动漫的小热潮热门网络小说和动漫拥有庞大粉丝群,仅依靠原作本身的故事情节、世界观,和庞大的人物构架,就让受制于手机硬件而难以拓展的手游行业依靠“周边产品”而不用交代情节即可让玩家畅游其中。这样的效果是明显的。如华益天信科技(北京)有限公司
盛大集团今日表示,已经获得中国(上海)自由贸易试验区的营业执照,成为入驻企业。盛大方面同时透露,目前正在筹备设立盛大金融服务公司,有意在自贸区开办第一家中外合资银行。这也是继百视通、弘毅投资、东方支付等之后,又一家宣布进驻自贸区的国内科技企业。此前,百视通宣布与微软共同出资7900万美元组建合资公司经营游戏、软件业务,入驻自贸区。为了入驻自贸区,盛大此次新成立了100%控股的上海盛大国际贸易有限公司(以下简称盛大国际)。盛大目前的业务涵盖游戏、文学、视频、动漫和电影等,2013年全集团预计收入接近100亿元人民币,利润超过20亿元。盛大网络总裁邱文友表示,盛大国际将专门从事对外文化贸易为主的相关业务。盛大首席投资官朱海发透露,随着自贸区各项政策措施落地,盛大在自贸区还有更为深入的考虑和计划:一是筹备设立盛大金融
盛大游戏再一次站在了风口浪尖上。7月下旬该公司的卡牌手游《百万亚瑟王》推出后表现抢眼,促成股价连日大涨,但随着本周一盛大宣布以8.115亿美元收购关联公司上海盛展和天津盛景两家公司,股价随之大跌20%。一家总市值13.50亿美元的公司,拿出8亿多美元收购两家关联公司,资本市场的反应并不奇怪,戏剧性的是不仅盛大的股价大跌,连同畅游也陪绑大跌了19.89%,一家中概股公司的高管向球探足球比分科技表示,陈天桥此举让刚刚缓和的中概股形象受到严重破坏,长期的影响暂时无法估量。据悉,盛大游戏此次意图购买的两家公司为上海盛展网络科技有限公司和天津胜景贸易有限公司。盛展为在线服务平台,主要为盛大游戏提供在线计费、用户认证、客户服务、防沉迷和数据支持等服务;而盛景则是为盛大游戏发行和推广游戏预付卡的经销商。据内部人士透露,尽管盛大曾经试
警方带走上海龙之界网络科技有限公司相关人员昨日中午,上海龙之界网络科技有限公司法人及两名经理在沪被湖北荆州沙市警方带走。知情人士向媒体透露,沙市警方是以“抓捕盗取商业机密的网上逃犯”为由逮捕相关人员,龙之界公司服务器也被一同运往湖北。盛大游戏公关部随后针对此事向媒体确认,原盛大游戏“传奇工作室”核心工作人员钱某等人因盛大举报被湖北警方拘留。盛大游戏称的确有举报行为,但一切结果还要看司法部门介入后的结果,目前案件还在处理中,盛大游戏方面不会过多评价。盛大游戏方面称,由于盛大游戏发现上述被举报人员创立的游戏公司龙之界旗下产品涉嫌侵权,因此才向司法部门进行举报,举报行为是为了维护企业的合法权益。对于后续发展,盛大游戏方面表示尊重国家法律,一切结果以司法部门的处理为准。对
全球最大的格斗游戏锦标赛:进化冠军系列(简称EVO),预定于本周末正式开赛,比赛的地点位于拉斯维加斯的巴黎大酒店,这场赛事将会吸引大量的参赛者和观众。EVO的组织者告诉GameSpot的记者,EVO的参赛人数从2009年卡普空出品《街头霸王4》开始就呈爆炸性增长。今年的EVO大赛共有 6,097场比赛,格斗游戏项目包括《街头霸王4:街机版》、《终极漫画英雄大战卡普空3》、《任天堂明星大乱斗》、《不义联盟:人间之神》、《铁拳TT2(锦标赛2)》、《真人快打9》、《女神异闻录4竞技场》以及《格斗之王13》等。EVO的创始人汤姆·坎农表示:这次赛事应该会吸引4000到5000名独立选手参展[Ed.官方记录:实际参赛的选手人数为3,538人,还包括破记录的人员在内]。不仅这次参赛的人
厂商名称:盛大游戏游戏名称:悍将传世游戏类型:ARPG游戏画面:2D论坛活动链接:http://bbs.3dmgame.com/thread-3730287-1-1.html礼包名称:特权礼包新手卡有效期:2013年3月12日~2013年4月30日新手卡使用区服限制:限新服使用官方网站地址:礼包包含内容:金币*100000,高级金创药水*99 新手卡使用流程:1、登陆游戏,进入游戏点击右上角“礼”按钮,呼出礼包领取界面2、在礼包领取界面下方输入领奖码,即可领取相应礼包!3、奖励将自动进入玩家包裹,可在包裹中打开礼包,获得奖励!活动方式:1,玩家通过在活动帖中写出自己对《悍将传世》的祝福语,游戏截图等等。我们会在这个中间随机抽取幸运玩友赠送这次的特权礼包。2,我很喜欢《悍将传世》
近日从ChinaJoy 2013的官方微博上爆出最新消息,盛大游戏将在2013年的ChinaJoy上重回第一展馆,并且拿下了该展馆面积最大的966平米展台作为本届展会的“战场”。据透露,盛大游戏之所以拿下第一大展台,并不仅仅是为了展示新游戏,同时也是为《时空裂痕》美国派计划中的三大世界巨星做一次顶级超玩见面会。预计届时这个展台不仅会吸引玩家的目光,三大巨星的粉丝包括球迷、影迷和乐迷以及各大领域媒体的记者都会齐聚1号馆盛大展台。CJ官方微博确认:盛大拿下CJ2013最大展台2月26日,ChinaJoy2013官方微博放出确认消息,盛大游戏将在今年的ChinaJoy上重回1号馆,并且已经拿下了966平米的最大展台。ChinaJoy的一号馆历来就是国内几家巨头厂商云集之地。球探足球比分、巨人、网易、畅游等公司每年都会在这个场
据报道,今日曝光了一份暴雪致盛大的公函,这是因为此前盛大为了推广旗下代理的网络游戏《时空裂痕》,而去模仿恶搞《魔兽世界》LOGO引起暴雪的不满。 《时空裂痕》是《魔兽世界》的直接竞争对手,在欧美,部分流失用户即成为了《时空裂痕》的玩家。这次战场又转向了中国。暴雪表示,盛大侵犯了暴雪的所有权权利,并要求盛大立刻撤回并停止授权。接到公函后,盛大立即移除了《时空裂痕》官方微博的logo以及微博文章。今日,在曝光的1月21日刊《大众网络报》封面上,看到了盛大调侃式的道歉,这可能也是一种出任以来偶的营销策略。
盛大游戏公司门口遭遇另一公司员工拉起横幅讨薪,这群员工的诉求是要求盛大游戏偿还血汗钱,称半年心血白费,并指出盛大游戏出尔反尔。据知情人士透露,这起纠纷背后是盛大游戏合作公司没结到款。 有细心人士将这一消息通知给了金酷游戏创始人葛斌斌,称“盛大被讨薪,葛总作为过来人,有没有带人跟着一起去的冲动?”葛斌斌也曾与盛大有过纠纷,他回复:“伤心往事不多提!”不过,这一讨薪事件在微博不断发酵。 记者致电盛大游戏官方,官方证实的确有第三方公司在公司门前讨薪,但已支付一半费用。这起事件缘由是由于第三方公司制作的产品质量不合格,盛大游戏终止合作。 盛大游戏同时强调,这是一起正常的纠纷事
《奇瑞与叮当合集》最近公布了发售日期:8月28日,这个日子从目前来看简直是PS3玩家的节日了。除了《奇瑞与叮当合集》还有《旅程收藏版》(售价30美刀)以及《NFL13》也是在同一天发售。除此之外还有一些小道消息,比如《恶名昭彰1&2合集》,《战神史诗合集》,甚至还有《神秘海域年度版》。多个零售商将这三款游戏都放在了网上,售价均为40美刀,日期也都是8月28日,但是这个消息尚未经索尼官方确认。如果这些零售商的消息是正确的,那8月28日就是PS3玩家的大节日了,14款游戏,而且价格都很公道!具体列表奇瑞与叮当合集:《奇瑞与叮当》、《奇瑞与叮当:敢死队》、《奇瑞与叮当3》旅程收藏版:《旅程》、《花朵》、《涌流》恶名昭彰1&2合:《恶名昭彰》、《恶名昭彰2》战神史诗合集:《战神》、《战神2》、《战神:奥林匹斯之
目前国内千元机市场的异常火爆,联想也决心从中分一杯羹。这不现在有用户再一次曝光了旗下廉价新机S889t的真机照。从曝光的真机图上可以看出,S889t是一款移动深度定制机型,同时采用了全触控操作模式,其机身正面没有设计实体键。有消息称,这款手机将配备一块4.5寸qHD分辨率触摸屏,整机厚度为9.9mm。此外,该机搭载也是主频1GHz的意法爱立信U8500双核处理器,内置1GB RAM和4GB的ROM存储容量,提供500万像素摄像头和2000mAh电池,运行的是基于Android 4.0.3的联想定制系统。目前,该机已经顺利的拿到了入网许可证,这也意味着它即将在近期上市开售。有消息人士称,联想S889t的售价为1299元。
今天有消息人士(盛大手机汇)向我们透露称,盛大手机将会推迟至6月12日发布,而它将会在本月下旬开始预售,7月初正式发货。此外,消息人士爆料称,盛大手机将会有8GB和16GB两个版本,而它们的售价分别为1199元和1499元,希望两者的差别只是停留在内存容量上。以此同时,该人士还透露称,盛大手机的机身尺寸为129x68x9.9mm,并由富士康代工生产。目前,多数传闻都称,盛大手机配的4.3寸夏普屏,分辨率为960×540像素,搭载的是主频1GHz意法爱立信U8500双核处理器,内置1GB RAM内存500万像素摄像头,并提供3D陀螺仪、GPS、光线感应、距离感应、加速度感应、指南针等功能,内置电池容量为1930mAh。Update:现在这位名叫盛大手机汇的微博用户又再一次放出了盛大手机的电池真机图。
前段时间盛大内部人士透露称,盛大手机已经开始量产,现在又媒体第一时间拿到了这款手机的官方宣传照。从曝光的图片上可以看出,这款手机屏幕上方和机身背部都有Bambook的Logo,并且还有前置和后置摄像头(有闪光灯),同时屏幕下方有三颗虚拟按键。此外,消息人士还爆料称,这款手机并不会采用盛大旗下的乐众ROM,但多款盛大移动互联网产品仍将内置其中,而其游戏属性也将被进一步强调。此前多数消息都称,这款手机将配备一块4.3寸夏普制造触摸屏,分辨率为960×540像素,内置1GB RAM和500万像素摄像头,同时搭载的是意法爱立信的中低端1GHz的U8500双核处理器,其包含了2个Cortex-A9 1.0GHz核心,集成ARM Mali-400 MP1 GPU,于此同时,该机还具备3D陀螺仪、GPS、光线感应、距离感应、
浙报传媒集团股份有限公司4月5日公布2011年年报的同时透露,将收购盛大旗下的两家公司——杭州边锋网络技术有限公司(以下简称“杭州边锋”)及上海浩方在线信息技术有限公司(以下简称“上海浩方”)。 拟收购盛大旗下两企业 浙报传媒因进行重大资产收购于3月6日起停牌至今。昨晚公告显示,其拟通过非公开发行和并购贷款相结合方式收购杭州边锋及上海浩方,并将于4月9日召开董事会审议非公开发行重大资产收购事项,并于4月10日公告复牌。 资料显示,盛大在2004年7月战略投资了电子竞技游戏平台公司上海浩方,其后于2004年8月收购了网络棋牌游戏公司杭州边锋,杭州边锋成为盛大网络旗下最主
据消息人士透露,盛大集团已下发内部通知,从本周五开始全面禁用球探足球比分旗下产品,包括QQ、TM、球探足球比分微博等。 通知称,集团将于本周五全面禁止球探足球比分所有产品在公司内部的运行,如果确实因为工作需要使用球探足球比分产品,需要重新发起申请流程“IT服务流程-办公应用权限申请-QQ等应用申请”,而且使用期限仅为一个月。 据悉,除一般公司为保证员工工作质量禁止使用QQ,国内还有与球探足球比分有竞争关系的互联网公司禁止员工在公司使用QQ。至于盛大做此决定的原因,业界猜测与QQ推出“好友圈”有关,也有一种说法是因为盛大球探足球比分因某项合作谈判破裂的报复。 通知全文: 集团将于本
京ICP备14006952号-1 京B2-20201630 京网文(2019)3652-335号 沪公网安备 31011202006753号违法和不良信息举报/未成年人举报:legal@3dmgame.com
CopyRight?2003-2018 违法和不良信息举报(021-54473036) All Right Reserved
